


This is the so-called Southern Oscillation Index (SOI). SOI is a climatic index connected with the recurring El NiÑo conditions in the tropical Pacific; it is essentially the normalized monthly mean difference in sea-level pressure between Darwin, Australia and Tahiti (Rasmusson et al., 1990).
Using a convinient graphical user interface you can perform singular-spectrum analysis on input data.

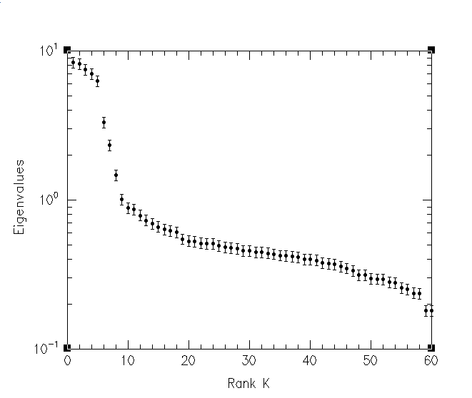
SSA reconstructions of selected components and tests for the presence of trend and oscillatory components are provided. Ad hoc and Monte Carlo error bars for the SSA eigenspectra are also included. All results are displayed graphically. The next figure shows SSA eigenspectrum for the SOI time series:

In addition, the Toolkit includes three kinds of power-spectrum estimation. These are the traditional Blackman-Tukey windowed correlogram, multi-taper method(MTM), and maximum-entropy method(MEM). You can apply these tools at any point in the analysis to a raw time series, or to SSA reconstructions. Outputs include power spectra and significance tests for correlogram and MTM.
The next figure shows MTM spectrum for the same data. The black peaks are components of the spectrum associated with a periodic signal, and the significance levels relative to the estimated noise background are shown.

Prebuilt binary executables for the Toolkit are available for download. The Toolkit has been ported and actively maintained for Linux and Mac OS X (under X11, runs natively on both PowerPC and Intel based Mac systems). Also, legacy builds for SUN, DEC and SGI are available (not all latest features may be included). Windows users can run SSA-MTM Toolkit on Windows via Cygiwn and remote X client, here are instructions courtesy to Andrew Moy (Andrew.Moy@aad.gov.au).
The SSA-MTM Toolkit is a product of the SSA-MTM Group (so far: Myles Allen, Mike Dettinger, Kayo Ide, Dmitri Kondrashov, Michael Ghil, Mike Mann, Andrew W. Robertson, Amira Saunders, Ferenc Varadi, Yudong Tian, and Pascal Yiou) at UCLA (mostly). Andreas Groth helped to include VARIMAX rotation in M-SSA. Command-line version of the Toolkit is developed by Bruno Deremble and Dmitri Kondrashov. Alexander Brawanski helped with MTM routines.
You can direct comments on installation and performance, as well as suggestions for future versions, to ssahelp@atmos.ucla.edu.
Colebrook, J.M., 1978:
Continuous plankton records - zooplankton and environment,
northeast Atlantic and North Sea, 1948-1975,
Oceanol. Acta ,1, 9-23.M. Grigorov, 2006: Global dynamics of biological systems from
time-resolved omics experiments, Bioinformatics, 22 (12), 1424--1430.
Mineva A, Popivanov D, 1996: Method of singletrial readiness potential
identification, based on singular spectrum analysis.
J. Neurosci. Methods, 68, 91-99.
Rodo X, Pascual M, Fuchs G, Faruque ASG, 2002:
ENSO and cholera: A nonstationary link related to climate change?
Proc. Nat. Acad. Sci. USA, 99 (20), 12901-12906.
1. ONR-N00014-12-1-0911, FY2012 Multi-University Research Initiative (MURI) Topic #16: Extended-Range Environmental Prediction Using Low-Dimensional Dynamic Modes, Office of Naval Research, 2012--2015.
2. NSF 1049253, Collaborative Research, Type 1, L02170206: Climate Sensitivity, Stochastic Models and GCM-EaSM Optimization, U.S. National Science Foundation (DMS + MPS Divisions), 2011--2014.
3. DOE DE-SC0006694, Decadal Prediction and Stochastic Simulation of Hydroclimate over Monsoonal Asia , U.S. Department of Energy, 2011--2014.
Copyright © SSA-MTM group, (mostly) UCLA.